精益成本管理專業術語
日期:2017-03-17 / 人氣: / 來源:m.gdzsled.com / 熱門標簽: 固定成本 變動成本 精益成本管理
(一)成本可以劃分為固定成本和變動成本,其中
· 固定成本:在特定的經營條件下成本總額不隨銷售量(生產量)的增減變動而變動的成本,如管理人員的工資、折舊費、差旅費、勞保費等。(M2、M3、M4)
· 變動成本:在特定的經營條件下其成本總額隨銷售量(生產量)的增減變動而變動的成本,如材料費、銷售傭金、銷售運輸費、技術轉讓費等。(M1、M5)
(二)邊界利益:
· 單位邊界利益:產品銷售單價減去其變動成本后的余額
· 邊界利益總額:產品銷售收入減去變動成本總額后的余額
P_利潤,b_單位變動成本,a_固定成本總額,
p_單位售價,x_銷售量,S_銷售額,CM_邊界利益
P=px-bx-a CM = px-bx
* 邊界利益的應用:虧損產品是否停產:
例1:某公司生產A、B、C三種產品,其損益情況如下:
上表顯示:C產品虧損了100元,是否停止生產C,就可以使企業的虧損減少100元,總利潤達到1300元呢?
C停產后邊界利益總額及盈虧情況:下表顯示:C停產以后,由于A和B分攤了原來由C分攤的300元,A、B產品的利益分別下降了120元和180元,公司的整體利益下降了200元。
在生產能力無法轉移的情況下,虧損產品只要能提供邊界利益就不應停產。
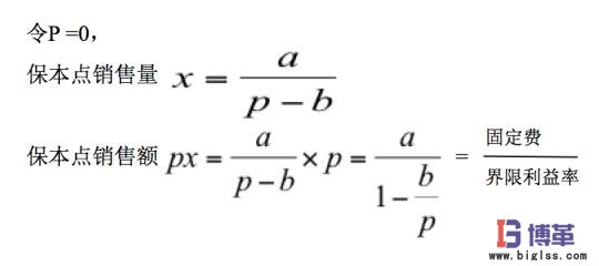
(三)損益分歧點:
總收入等于總成本,利潤等于0時的銷售量或銷售額,也就是企業不盈、不虧狀態下的銷售量或銷售額,亦稱為保本點銷售量或保本點銷售額。
(三)增值稅
(1)什么是增值稅?
就是對商品生產和流通中各環節的新增價值或附加值征收的一種流轉稅。
(2)增值稅的計算——間接方法計算
根據貨物或勞務的銷售額,按規定的稅率(17%,13%,7%,6%,4%)計算稅款,即所謂的銷項稅扣除上一環節即購入環節已納稅款即所謂的進項稅。
即應交增值稅 = 銷項稅額-進項稅額
例2:某鋼鐵廠2月份以0.7萬元/噸的不含稅價格購入鋼材10噸,加工成圓鋼后以每噸1.17萬元的含稅價格全部售出。計算2月份應交的增值稅。
應交增值稅=1.17/1.17*0.17*10-0.7*0.17*10
=1.7-1.19=0.51(萬元)
采購發票及時開具 避免當期多交稅
銷售發票及時開具 避免當期少交稅
(3)PL中增值稅進項的計算
增值稅進項的產生基于《出口免、抵、退稅政策》
目前的退稅率有17%和13%兩種
操作方法:
1、免征出口環節增值稅
2、計算不予抵扣或退稅的稅額,計入成本
增值稅進項=(出口銷售額-進口免稅料件)×( 征稅率-退稅率)
3、計算當期應納稅額
應交稅額=應交銷項稅 -(進項稅額-不予抵扣或退稅的稅額)
在計算的應交稅額為負數時,才可以退稅
4、計算應退稅額
退稅額=出口貨物銷售額(離岸價)×退稅率
· 固定成本:在特定的經營條件下成本總額不隨銷售量(生產量)的增減變動而變動的成本,如管理人員的工資、折舊費、差旅費、勞保費等。(M2、M3、M4)
· 變動成本:在特定的經營條件下其成本總額隨銷售量(生產量)的增減變動而變動的成本,如材料費、銷售傭金、銷售運輸費、技術轉讓費等。(M1、M5)
(二)邊界利益:
· 單位邊界利益:產品銷售單價減去其變動成本后的余額
· 邊界利益總額:產品銷售收入減去變動成本總額后的余額
P_利潤,b_單位變動成本,a_固定成本總額,
p_單位售價,x_銷售量,S_銷售額,CM_邊界利益
P=px-bx-a CM = px-bx
* 邊界利益的應用:虧損產品是否停產:
例1:某公司生產A、B、C三種產品,其損益情況如下:
| A產品 | B產品 | C產品 | 合計 | |
| 銷售收入 | 2000 | 3000 | 1000 | 6000 |
| 減:變動成本 | 900 | 1300 | 800 | 3000 |
| 邊界利益 | 1100 | 1700 | 200 | 3000 |
| 減:固定成本 | 600 | 900 | 300 | 1800 |
| 利潤 | 500 | 800 | -100 | 1200 |
上表顯示:C產品虧損了100元,是否停止生產C,就可以使企業的虧損減少100元,總利潤達到1300元呢?
C停產后邊界利益總額及盈虧情況:下表顯示:C停產以后,由于A和B分攤了原來由C分攤的300元,A、B產品的利益分別下降了120元和180元,公司的整體利益下降了200元。
|
|
A產品 | B產品 | C產品 | 合計 |
| 銷售收入 | 2000 | 3000 | 0 | 6000 |
| 減:變動成本 | 900 | 1300 | 0 | 2200 |
| 邊界利益 | 1100 | 1700 | 0 | 2800 |
| 減:固定成本 | 1800*0.4=720 |
1800*0.6= 1080 |
0 | 1800 |
| 利潤 | 380 | 620 | 0 | 1000 |
在生產能力無法轉移的情況下,虧損產品只要能提供邊界利益就不應停產。
(三)損益分歧點:
總收入等于總成本,利潤等于0時的銷售量或銷售額,也就是企業不盈、不虧狀態下的銷售量或銷售額,亦稱為保本點銷售量或保本點銷售額。

(三)增值稅
(1)什么是增值稅?
就是對商品生產和流通中各環節的新增價值或附加值征收的一種流轉稅。
(2)增值稅的計算——間接方法計算
根據貨物或勞務的銷售額,按規定的稅率(17%,13%,7%,6%,4%)計算稅款,即所謂的銷項稅扣除上一環節即購入環節已納稅款即所謂的進項稅。
即應交增值稅 = 銷項稅額-進項稅額
例2:某鋼鐵廠2月份以0.7萬元/噸的不含稅價格購入鋼材10噸,加工成圓鋼后以每噸1.17萬元的含稅價格全部售出。計算2月份應交的增值稅。
應交增值稅=1.17/1.17*0.17*10-0.7*0.17*10
=1.7-1.19=0.51(萬元)
采購發票及時開具 避免當期多交稅
銷售發票及時開具 避免當期少交稅
(3)PL中增值稅進項的計算
增值稅進項的產生基于《出口免、抵、退稅政策》
目前的退稅率有17%和13%兩種
操作方法:
1、免征出口環節增值稅
2、計算不予抵扣或退稅的稅額,計入成本
增值稅進項=(出口銷售額-進口免稅料件)×( 征稅率-退稅率)
3、計算當期應納稅額
應交稅額=應交銷項稅 -(進項稅額-不予抵扣或退稅的稅額)
在計算的應交稅額為負數時,才可以退稅
4、計算應退稅額
退稅額=出口貨物銷售額(離岸價)×退稅率
作者:博革咨詢










